WebMaster : O.GRAS

Enseignant Sc. Physiques CPGE spé PSI

Création du site :1er juin 2020

Mise à jour : 30 janvier 2026

Semaine calendaire 6 du 2 au 8 février 2026

 

SOMMAIRE : 


- programme du DS

- programme officiel

- programme de colle 17

- programme de la semaine

 - 



Objectifs




Interro  mercredi , sur le programme  «ondes»  (cordes, câblé coaxial, ondes sonores, ondes électromagnétiques)+ révisions cristallographie + cinétique chimique 



Rédaction MCOT sur le site SCEI et avancement du TIPE afin de pouvoir repositionner chaque sujet : fin le 4 février à 14h !!!







Programme officiel PSI  pour la semaine

Hors colle

Hors colle

Hors colle

Hors colle

Chimie

Pas encore

Cette semaine

Programme de colle

                   Programme 17 de colle de Physique-Chimie :

SAVOIR : 

CHIMIE :  

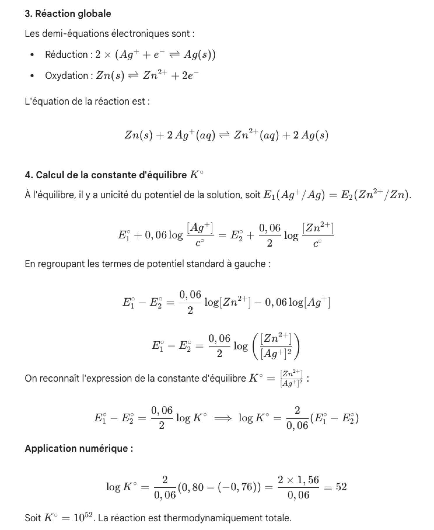
 révisions sur l’oxydo-réduction : tracé de diagramme E-pH, calcul d’une pente, calcul de pH de limite de domaine.

Ajout de la 2e année : enthalpie libre de réaction et sa relation avec -n.F.E, calcul de constante de réaction entre deux couples en fonction de la différence de potentiel standard  

- courbes intensité potentiel :

Identifier le caractère lent ou rapide d'un système à partir des courbes courant-potentiel. Identifier les espèces électro-actives pouvant donner lieu à une limitation en courant par diffusion. Identifier des paliers de diffusion limite sur des relevés

expérimentaux.

Tracer l'allure de courbes courant-potentiel de branches d'oxydation ou de réduction à partir de données fournies, de potentiels standard, concentrations et sur-potentiels.

Pas encore vu : Piles - Electrolyseurs. Corrosion d’un métal. Protection contre la corrosion.

PHYSIQUE

- ondes mécaniques : cas de la corde tendue, établissement de l’équation de d’Alembert à partir du TCI sur un petit élément de corde (dans le cas d’un déplacement de faible amplitude), onde transversale, célérité, notation complexe pour l’onde, cas de la réflexion parfaite sur un point de fixation ou une perle ou une interface, déphasage à la réflexion, superposition d’une onde incidente et de l’onde réfléchie = onde stationnaire, cas des noeuds de vibration // corde de Melde  (régime forcé) // masse attachée à la corde //  cas de deux points fixes// Instruments à corde (révisions de 1ère année) //

- ondes électriques sur un câble : cours ou exemple simple basé sur les équations électriques et les deux paramètres i(x,t) et u(x,t), notion d’équation de d’Alembert, impédance Z, u = +Z.i ou -Z.i en fonction du sens de propagation, (les cas de réflexion sur une impédance au bout du câble seront faits en TP ce mercredi)

- ondes acoustiques  :

Approximation acoustique.  

Équation de d'Alembert pour la surpression p(x,t). 

Célérité.  Ondes planes progressives harmoniques. 

Onde longitudinale.  Impédance acoustique. 

Onde sonore sphérique harmonique divergente. 

 Instruments à vent (révisions de 1ère année) : noeuds de pression ou de vitesse

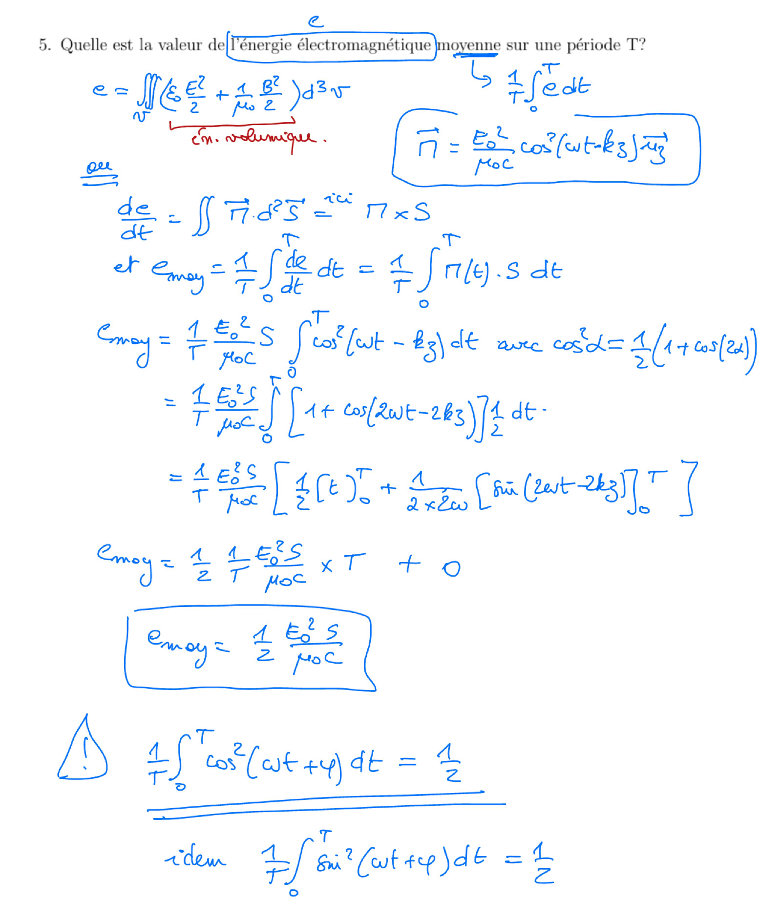
Puissance, Poynting, intensité sonore

- ondes électromagnétiques dans le vide

Équation de d’Alembert, polarisation, mode TE, TM ou TEM

Réflexion sur un métal parfait (vu l’onde dans le métal et épaisseur de peau), onde stationnaire, « cavité » entre deux plans //

Polariseur et analyseur

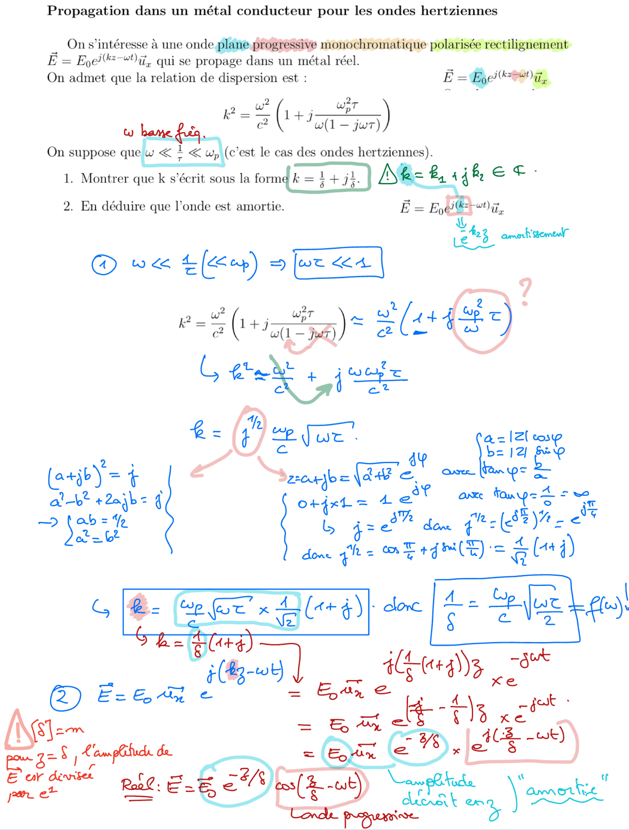
- ondes électromagnétiques dans les métaux

Relation de dispersion, épaisseur de peau


Questions de cours pour la colle

Les 6 questions de cours : 

1- champ E créé par une sphère chargée en surface : cas avec le th de Gauss et ensuite avec l’équation de Maxwell-Gauss. Lien avec la relation de passage.

2- rôle d’un multiplieur pour la détection synchrone

3- dosage par suivi conductimétrique : tracé de la courbe de la conductivité G de la cellule en fonction du volume versé v (1ère année)

4 - Décrire la géométrie des courants de Foucault dans le cas d'un conducteur cylindrique soumis à un champ magnétique parallèle à son axe, uniforme et oscillant. Exprimer la puissance dissipée par effet Joule en négligeant le champ propre et expliquer le rôle du feuilletage.

5-  force magnétique F exercée par un matériau magnétique en U bobiné avec N spires et attirant un barreau droit horizontal

6- (SUP) Lois de vitesse en cinétique : réactions sans ordre, réactions avec ordre simple (0,1,2), ordre global, ordre apparent. Temps de demi-vie d'un réactif, temps de demi-réaction. 

Physique-Chimie-TIPE- TP-Python


lundi 8h à 11h15 :  

Poly   :  


mardi 10h00 à 11h30






  • mercredi 8h-10h et 10h-12h :
    TD   :  courbes i-E + ondes 










  • mercredi 12h-13h rien

  • mercredi 14h-16h
    Ondes EB, cordes, acoustiques, électriques : bilans
    Interro sur les ondes acoustiques et électromagnétiques


  • mercredi 14h-16h : TIPE


  • jeudi 10h-11h30 :
     

Onde avec vitesse de groupe et de phase différentes

vitesse de groupe : celle du point rouge et de l’enveloppe 

Vitesse de phase : celle du point vert

Oxydo-réduction : 

Oxydo-réduction : exemple 2

Ondes électromagnétiques : exemples

Exemple d’un hacheur « dissimulé » dans un exercice de CCINP

Cours i-E : précisions 

Cours E-pH : test de révision 

Méthode plus générale que l’égalité des potentiels :