WebMaster : O.GRAS

Enseignant Sc. Physiques CPGE spé PSI

Création du site :1er juin 2020

Mise à jour : 13 décembre 2025

Semaine calendaire 48 du 24 au

30 novembre 2025

 

Programme de la semaine

Le corrigé du DS 2 servira pour l’interro de la semaine 49.



Vendredi : cours et colles annulées à partir de 12h


FORUM des anciens à partir de 13h






SOMMAIRE : 

- programme officiel

- programme de colle 

- planning de la semaine


Programme officiel PSI

Pas au programme 9

Chimie, notion de potentiel chimique

Pas au programme 8

Programme de colle

                   Programme 9 de colle de Physique-Chimie :

SAVOIR : 

 —chimie :  identités thermodynamiques (dH, dG), expression de S en fonction de la dérivée de G par T, relation de Gibbs-Helmholtz, dG négatif démontré pour une réaction spontanée, potentiel chimique et enthalpie libre molaire, identité d’Euler, relation de Gibbs-Duhem, volume molaire et entropie molaire en fonction des dérivée du potentiel chimique, démonstration : la quantité d’une espèce diminue si son potentiel chimique est plus élevé + idem pour l’action de la pression ou le sens des échanges thermiques. Equilibre = égalité des potentiels chimiques 

Plus tard : activité d’une espèce (gaz, liquide, solide, solvant) 

— loi d’Ohm locale, vecteur densité de courant, modèle de Drude, expression de résistances R (poly 9)

condensateurs : cas plan et cylindrique, expression la capacité C (10)

dipôle électrostatique p : expression du potentiel V et du champ E (8bis)

— champ magnétique B dans le cas statique, Biot et Savart, conservation du flux, équation locale de Maxwell-Ampère dans le cas statique + cas du théorème d’Ampère

ARQS : loi de conservation de la charge, les 4 équations de Maxwell, équation de Maxwell Gauss pour calculer un champ E avec l’expression de div(), équation de Maxwell Ampère pour calculer un champ B avec l’expression de rot()

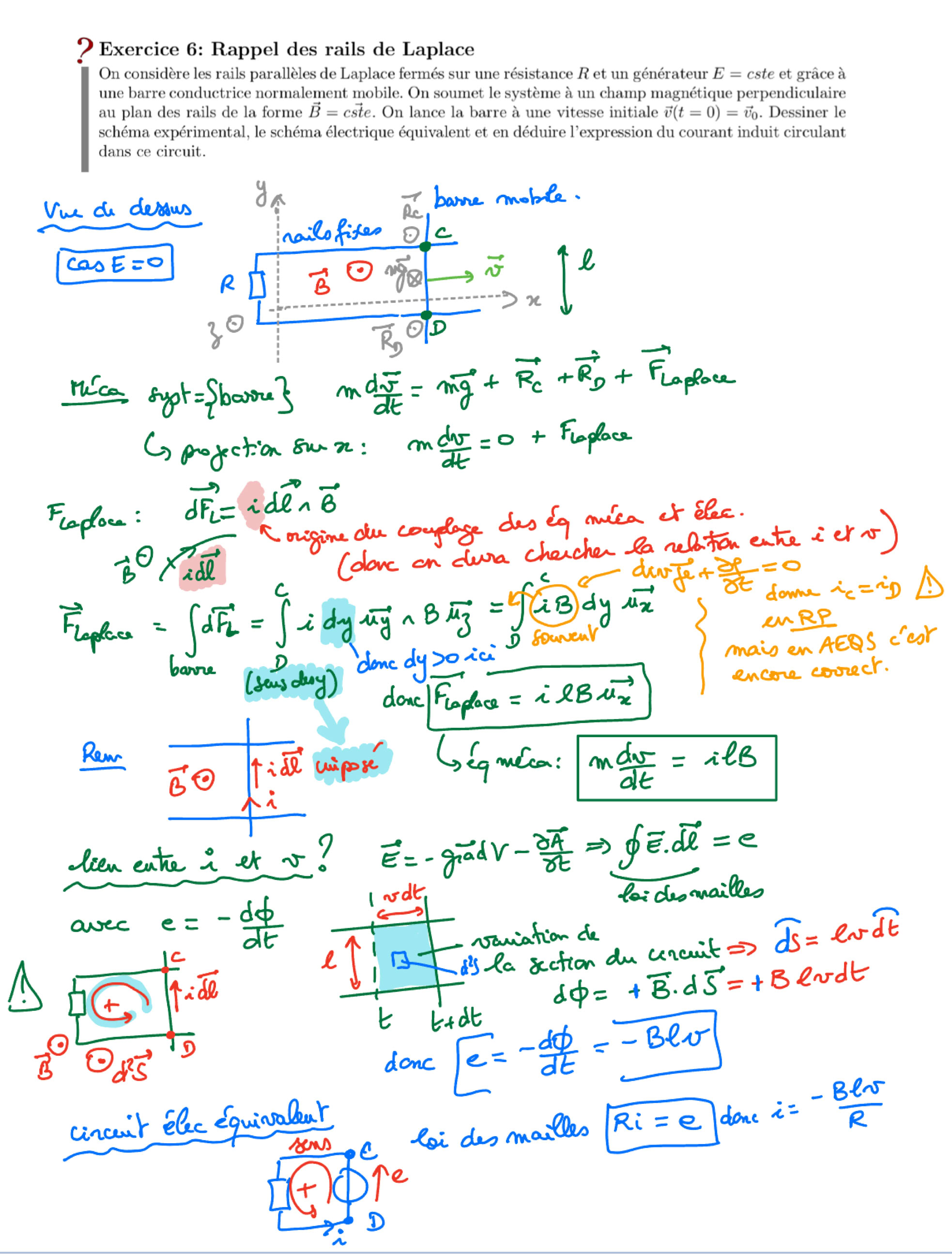
- équations de Maxwell : loi de Lenz-Faraday, champ magnétique imposé dans un isolant par un champ E extérieur  sinusoïdal, rappel des rails de Laplace avec résistance, relations de passage pour E et B sont données, loi de Lenz et tension aux bornes d’une bobine idéale + notion d’inductance L, cas de l’induction pour une spire tournante dans B fixe, effet Joule microscopique, courants de FOUCAULT (calculs pour un cylindre et puissance dissipée par effet Joule) : cas des plaques à induction de la cuisine.

- vecteur de Poynting, cas de la résistance cylindrique, énergie volumique  électromagnétique

(+ les définitions complètes de L et de la mutuelle M)

- hystereris magnétique : montage du TP, PAS ENCORE théorème d'Ampère dans un circuit magnétique fermé : cas un tore+ bobine+ entrefer = calcul de B dans l'entrefer


(Voir la vidéo plus haut + les exemples en dessus avec le résumé de ce qui a été fait mercredi dernier)



Questions de cours pour la colle

Les 6 questions de cours : 


1- (poly10) association de deux plaques planes : champ E et capacité du condensateur réalisé

2- Comparateur à hysteresis non inverseur

3- dosage d’une dibase faible par un acide fort (1ère année)

4-  Champ B sur l’axe d’une spire par Biot et Savart

5- (poly 9) démo de l’équation de conservation de la charge 

6- spectre de Fourier associé à la fonction « échantillonneur-bloqueur »


Physique-Chimie-TIPE- TP-Python


lundi 8h à 11h00 :  

Poly 15 : diagramme de Fresnel

Poly  14  : ferromagnétisme (fin)
Poly 16 : transformateurs




mardi 10h00 à 11h30

CHIMIE : potentiel chimique et équilibres




  • mercredi 8h-10h et 10h-12h :
    COURS- TP sur les transformateurs : (poly 16)







  • mercredi 14h-16h
    TIPE


  • mercredi 16h-18h
    Poly 17 : circuits magnétiques
    Poly 18 : actionneurs
    Cours + TD





  • mercredi 14h-16h : TIPE.





  • jeudi 10h-11h30 :  = 
    Poly 18 :



  • compléments sur les matériaux magnétiques : 

On voit que le signal jaune n’est pas linéaire et correspond à B alors que le signal bleu en dessous correspond à i (donc à H) sinusoïdal



 

Formulaire vectoriel

Corrigé de l’interro 

Femme écrivant Sur Un Tableau Blanc

Exercices corrigés : 

Poly 13 : 2ème méthode pour l’effet Joule induit = utilisation des opérateurs

Exercices corrigés issu du TD associé au poly 12 et 13

Poly 14 : résumé pour les deux groupes du mercredi

‍Ch3 : Potentiels chimiques TD